產品介紹 | PRODUCTS
聯系我們 | CONTACT US
- 內貿部:18953701056 (劉廣臣)
- 外貿部:18063200578 (任真真)
您所在的位置:
首頁 >>
產品介紹 >>
聚羧酸類阻垢分散劑、水性分散劑 >>
AA/AMPS產品介紹
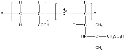
丙烯酸-2-丙烯酰胺-2-甲基丙磺酸共聚物 AA/AMPS
Acrylic Acid-2-Acrylamido-2-Methylpropane Sulfonic Acid Copolymer (AA/AMPS)
一、性能與用途
AA/AMPS為丙烯酸與2-丙烯酰胺-2-甲基丙磺酸(AMPS)共聚而成。由于分子結構中含有阻垢分散性能好的羧酸基和強極性的磺酸基,能提高鈣容忍度,對水中的磷酸鈣、碳酸鈣、鋅垢等有顯著的阻垢作用,防止氧化鐵的沉積,尤其對磷酸鈣阻垢率高。并且分散性能優良。與有機膦復配,增效作用明顯。特別適合高pH、高堿度、高硬度的水質,是實現高濃縮倍數運行的理想的阻垢分散劑之一。
二、技術指標 符合 HG/T 3642-2016
| 項 目 | 指 標 | |
| HG/T 3642-2016 | -- | |
| 外 觀 | 無色至黃色粘稠液體 | 無色至淡黃色粘稠液體 |
| 固體含量/% | ≥30.0 | ≥40.0 |
| pH值(1%水溶液) | ≤2.5 | 3.5~4.5 |
| 密度(20℃)/g·cm-3 | ≥1.05 | ≥1.15 |
| 游離單體(以AA計)/% | ≤0.2 | ≤0.50 |
| 極限粘數(30℃)/dl·g-1 | 0.055~0.100 | -- |
三、使用方法
AA/AMPS可與有機膦酸鹽、鋅鹽復合使用,適于pH條件為7.0~9.5。
四、包裝與貯存
AA/AMPS為塑料桶包裝,每桶25kg、200 kg或250 kg,也可根據用戶要求確定。AA/AMPS貯存期為十二個月。
五、安全與防護
AA/AMPS為酸性,操作時注意勞動保護,應避免與皮膚、眼睛等接觸,接觸后用大量清水沖洗。
銷售熱線:0632-5113088 銷售傳真: 0632-5113155
地址:山東省棗莊市市中區十里泉東路1號 網址:http://www.hxksjx.cn E-mail:th@thwater.com
版權所有© :2006-2021 山東泰和科技股份有限公司 魯ICP備09091669號-43
地址:山東省棗莊市市中區十里泉東路1號 網址:http://www.hxksjx.cn E-mail:th@thwater.com
版權所有© :2006-2021 山東泰和科技股份有限公司 魯ICP備09091669號-43


